Top

所在位置:

  • 首页
  • 安徽省高校名单
  • 安徽医科大学
  • 安徽医科大学-2021年招生分数线
  • 安徽医科大学
  • 安徽医科大学
  • 安徽医科大学
  • 安徽医科大学

安徽医科大学2021年分省分专业录取分数线

院校招生办公室

发布日期:2022年2月14日

资料来源: 院校官方网站

返回大學主页



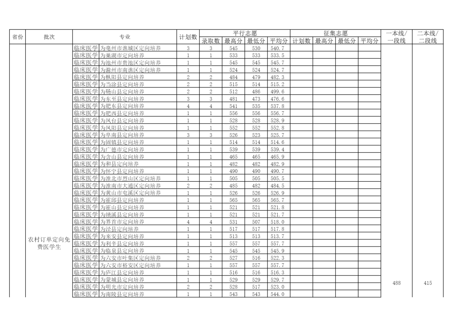
安徽医科大学2021年分省分专业录取分数线

安徽医科大学2021年分省分专业录取分数线

安徽医科大学2021年分省分专业录取分数线

安徽医科大学2021年分省分专业录取分数线

安徽医科大学2021年分省分专业录取分数线

安徽医科大学2021年分省分专业录取分数线



历年招生分数

2022年 : 安徽医科大学2022年分省分专业录取分数线

2021年 : 安徽医科大学2021年分省分专业录取分数线

流金歲月 「 我的大學 - 我的萬水千山 」

我的大學 - 我的萬水千山

声明(反馈邮箱)
本页引用了院校官网资源,版权归原作者所有。 反馈邮箱: School@ChinaNet.com.cn
安徽医科大学-标识(校名、校徽)


招生公告 · 招生简章 · 招生计划

大学志 * 整理招生信息 *

安徽医科大学-校园风光
我的流金歲月
高考季