齐鲁师范学院-2021年招生分数线
院校招生办公室
发布日期:2022年2月14日
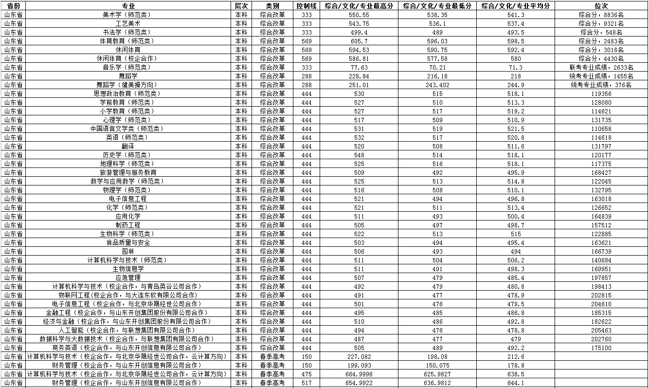
齐鲁师范学院2021年山东省录取情况表

齐鲁师范学院2021年省外录取情况统计表

齐鲁师范学院2021年山东省提前批公费师范生录取情况表





院校招生办公室



历年招生分数
2022年 : 齐鲁师范学院-2022年山东省各专业录取分数线详情
2021年 : 齐鲁师范学院2021年山东省录取情况表 / 齐鲁师范学院2021年省外录取情况统计表 / 齐鲁师范学院2021年山东省提前批公费师范生录取情况表



大学志 * 整理招生信息 *