河南
历年招生分数
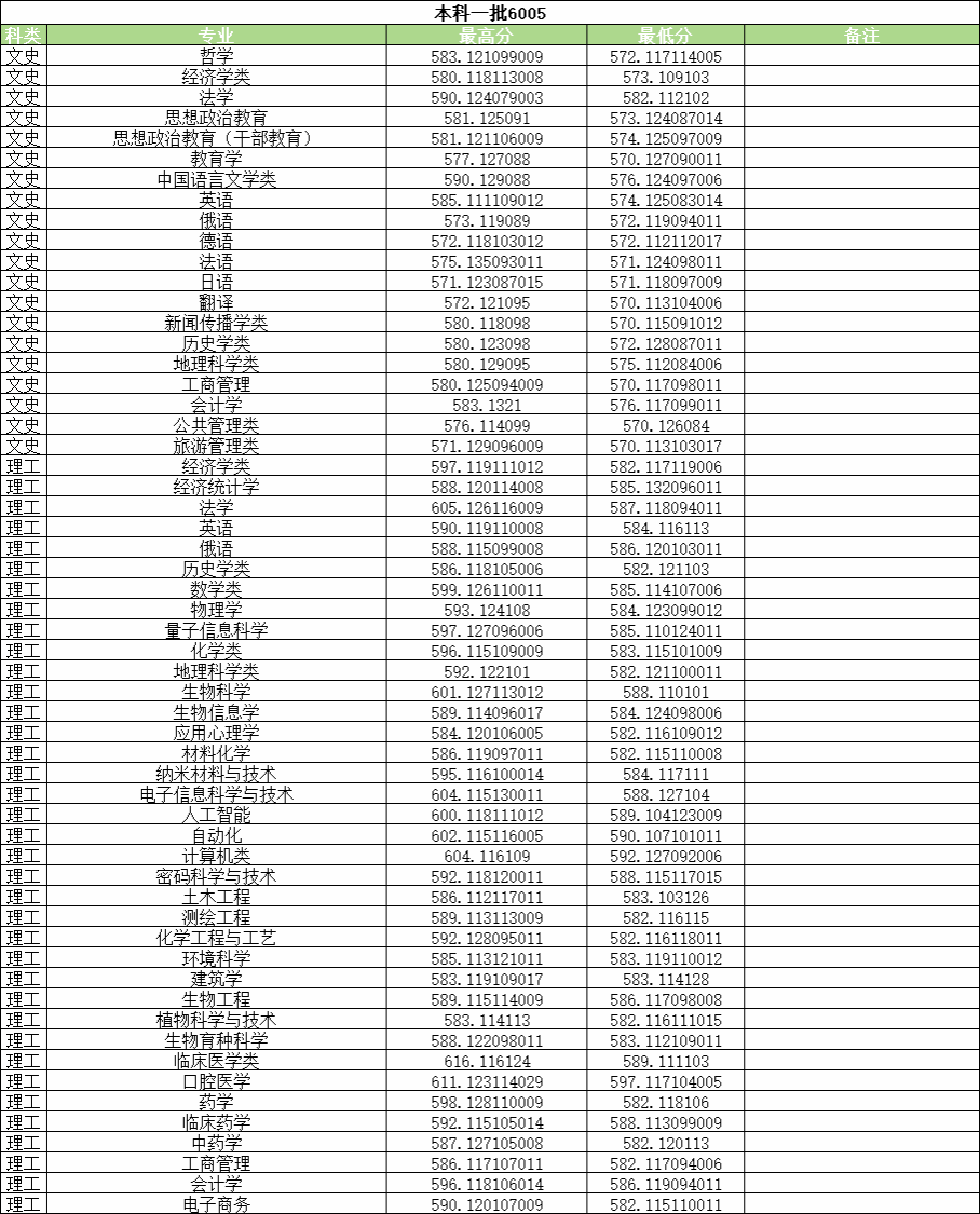
2024年 : 河南大学2024年河南省(普通类)录取情况
2023年 : 河南省分专业录取情况(2021-2023)
2022年 : 河南大学2022年河南省各批次录取最低分
2021年 : 河南大学2021年河南省各批次录取最低分
流金歲月 「 我的大學 - 我的萬水千山 」





历年招生分数
2024年 : 河南大学2024年河南省(普通类)录取情况
2023年 : 河南省分专业录取情况(2021-2023)
2022年 : 河南大学2022年河南省各批次录取最低分
2021年 : 河南大学2021年河南省各批次录取最低分



大学志 * 整理招生信息 *